Tax Help Archives  
Pub. 929, Tax Rules for Children and Dependents 2004 Tax Year

Main Contents

This is archived information that pertains only to the 2004 Tax Year. If you
are looking for information for the current tax year, go to the Tax Prep Help Area.

Part 1. Rules for All Dependents

Terms you may need to know (see Glossary):

Dependent
Earned income
Exemption
Gross income
Itemized deductions
Standard deduction
Unearned income

This part of the publication discusses the filing requirements for dependents, who is responsible for a child's return, how to figure a dependent's standard deduction and exemption (if any), and whether a dependent can claim exemption from federal income tax withholding.

Filing Requirements

Whether a dependent has to file a return generally depends on the amount of the dependent's earned and unearned income and whether the dependent is married, is age 65 or older, or is blind.

Caution
A dependent may have to file a return even if his or her income is below the amount that would normally require a return. See Other Filing Requirements, later.

The following sections apply to dependents with:

  • Earned income only,

  • Unearned income only, and

  • Both earned and unearned income.

To find out whether a dependent must file, read the section that applies, or use Table 1 on the previous page.

Earned Income Only

A dependent must file a return if all his or her income is earned income, and the total is more than the amount listed in the following table.

Marital Status Amount
Single  
Under 65 and not blind $4,850
Either 65 or older or blind $6,050
65 or older and blind $7,250
Married*  
Under 65 and not blind $4,850
Either 65 or older or blind $5,800
65 or older and blind $6,750
*If a dependent's spouse itemizes deductions on a separate return, the dependent must file a return if the dependent has $5 or more of gross income (earned and/or unearned).

Example.

William is 16. His mother claims an exemption for him on her income tax return. He worked part time on weekends during the school year and full time during the summer. He earned $5,600 in wages. He did not have any unearned income.

He must file a tax return because he has earned income only and his total income is more than $4,850. If he were blind, he would not have to file a return because his total income is not more than $6,050.

Unearned Income Only

A dependent must file a return if all his or her income is unearned income, and the total is more than the amount listed in the following table.

Marital Status Amount
Single  
Under 65 and not blind $ 800
Either 65 or older or blind $2,000
65 or older and blind $3,200
Married*  
Under 65 and not blind $ 800
Either 65 or older or blind $1,750
65 or older and blind $2,700
*If a dependent's spouse itemizes deductions on a separate return, the dependent must file a return if the dependent has $5 or more of gross income (earned and/or unearned).

Example.

Sarah is 18 and single. Her parents can claim an exemption for her on their income tax return. She received $850 of taxable interest and dividend income. She did not work during the year.

She must file a tax return because she has unearned income only and her total income is more than $800. If she were blind, she would not have to file a return because she has unearned income only and her total income is not more than $2,000.

Election to report child's unearned income on parent's return.   A parent of a child under age 14 may be able to elect to include the child's interest and dividend income on the parent's return. See Parent's Election To Report Child's Interest and Dividends in Part 2. If the parent makes this election, the child does not have to file a return.

Earned and Unearned Income

Worksheet you may need to fill in
A dependent who has both earned and unearned income generally must file a return if the total income is more than line 5 of the following worksheet.

Filing Requirement Worksheet
for Most Dependents
1. Enter dependent's earned
income plus $250
   
2. Minimum amount   $800
3. Compare lines 1 and 2. Enter
the larger amount
   
4. Maximum amount   4,850
5. Compare lines 3 and 4. Enter
the smaller amount
   
6. Enter the dependent's gross
(total) income. If line 6 is more than line 5, the dependent must file an income tax return. If the dependent is married and his or her spouse itemizes deductions on a separate return, the dependent must file an income tax return if line 6 is $5 or more.
   
 

Table 1. 2004 Filing Requirements for Dependents

If your parent (or someone else) can claim you as a dependent, use this table to see if you must file a return.  
See the definitions of “dependent,”“earned income,” and“ unearned income” in the Glossary.  
Single dependents—Were you either age 65 or older or blind?  
check box
  No. You must file a return if any of the following apply.    
 
  • Your unearned income was over $800.

  • Your earned income was over $4,850.

  • Your gross income was more than the larger of:

 
   
  • $800, or

  • Your earned income (up to $4,600) plus $250.

     
check box
  Yes. You must file a return if any of the following apply.  
 
  • Your unearned income was over $2,000 ($3,200 if 65 or over and blind),

  • Your earned income was over $6,050 ($7,250 if 65 or older and blind),

  • Your gross income was more than—

 
    The larger of:   This amount:  
   
  • $800, or

  • Your earned income (up to $4,600) plus $250

PLUS $1,200 ($2,400 if 65
or older and blind)
 
Married dependents—Were you either age 65 or older or blind?  
check box
  No. You must file a return if any of the following apply.    
 
  • Your gross income was at least $5 and your spouse files a separate return and itemizes deductions.

  • Your unearned income was over $800.

  • Your earned income was over $4,850.

  • Your gross income was more than the larger of:

 
   
  • $800, or

  • Your earned income (up to $4,600) plus $250.

   
check box
  Yes. You must file a return if any of the following apply.    
 
  • Your gross income was at least $5 and your spouse files a separate return and itemizes deductions.

  • Your unearned income was over $1,750 ($2,700 if 65 or over and blind),

  • Your earned income was over $5,800 ($6,750 if 65 or older and blind),

  • Your gross income was more than—

 
    The larger of:   This amount:  
   
  • $800, or

  • Your earned income (up to $4,600) plus $250

PLUS $950 ($1,900 if 65
or older and blind)
 

Example 1.

Joe is 20, single, not blind, and a full-time college student. His parents provide most of his support and claim an exemption for him on their income tax return. He received $200 taxable interest income and earned $2,750 from a part-time job.

He does not have to file a tax return because his total income of $2,950 ($200 interest plus $2,750 in wages) is not more than $3,000, the amount on line 5 of his filled-in Filing Requirement Worksheet for Most Dependents (shown next).

Filing Requirement Worksheet
for Most Dependents
1. Enter dependent's earned
income plus $250
  $ 3,000
2. Minimum amount   800
3. Compare lines 1 and 2. Enter
the larger amount
  3,000
4. Maximum amount   4,850
5. Compare lines 3 and 4. Enter
the smaller amount
  3,000
6. Enter the dependent's gross (total) income. If line 6 is more than line 5, the dependent must file an income tax return. If the dependent is married and his or her spouse itemizes deductions on a separate return, the dependent must file an income tax return if line 6 is $5 or more.   $ 2,950
 

Example 2.

The facts are the same as in Example 1 except that Joe had $600 taxable interest income.

He must file a tax return because his total income of $3,350 ($600 interest plus $2,750 wages) is more than $3,000, the amount on line 5 of his filled-in worksheet (shown next).

Filing Requirement Worksheet
for Most Dependents
1. Enter dependent's earned
income plus $250
  $ 3,000
2. Minimum amount   800
3. Compare lines 1 and 2. Enter
the larger amount
  3,000
4. Maximum amount   4,850
5. Compare lines 3 and 4. Enter
the smaller amount
  3,000
6. Enter the dependent's gross (total) income. If line 6 is more than line 5, the dependent must file an income tax return. If the dependent is married and his or her spouse itemizes deductions on a separate return, the dependent must file an income tax return if line 6 is $5 or more.   $ 3,350
 

Worksheet you may need to fill in
Age 65 or older or blind. A dependent who is age 65 or older or blind must file a return if his or her gross (total) income is more than line 7 of the following worksheet.

Filing Requirement Worksheet
for Dependents
Who Are Age 65 or Older or Blind
1. Enter dependent's earned
income plus $250
   
2. Minimum amount   $800
3. Compare lines 1 and 2. Enter
the larger amount
   
4. Maximum amount   4,850
5. Compare lines 3 and 4. Enter
the smaller amount
   
6. Enter the amount from the following table that applies to the dependent    
  Marital Status Amount  
  Single    
    Either 65 or older or blind $1,200  
    65 or older and blind $2,400  
  Married    
    Either 65 or older or blind $ 950  
    65 or older and blind $1,900  
7. Add lines 5 and 6. Enter the total    
8. Enter the dependent's gross (total) income. If line 8 is more than line 7, the dependent must file an income tax return. If the dependent is married and his or her spouse itemizes deductions on a separate return, the dependent must file an income tax return if line 8 is $5 or more.    

Example 3.

The facts are the same as in Example 2 except that Joe is also blind. He does not have to file a return because his total income of $3,350 is not more than $4,200, the amount on line 7 of his filled-in Filing Requirement Worksheet for Dependents Who Are Age 65 or Older or Blind (shown next).


Filing Requirement Worksheet
for Dependents
Who Are Age 65 or Older or Blind
1. Enter dependent's earned
income plus $250
  $3,000
2. Minimum amount   800
3. Compare lines 1 and 2. Enter
the larger amount
  3,000
4. Maximum amount   4,850
5. Compare lines 3 and 4. Enter
the smaller amount
  3,000
6. Enter the amount from the following table that applies to the dependent   1,200
  Marital Status Amount  
  Single    
    Either 65 or older or blind $1,200  
    65 or older and blind $2,400  
  Married    
    Either 65 or older or blind $ 950  
    65 or older and blind $1,900  
7. Add lines 5 and 6. Enter the total   4,200
8. Enter the dependent's gross (total) income. If line 8 is more than line 7, the dependent must file an income tax return. If the dependent is married and his or her spouse itemizes deductions on a separate return, the dependent must file an income tax return if line 8 is $5 or more.   $3,350

Other Filing Requirements

Some dependents may have to file a tax return even if their income is below the amount that would normally require them to file a return.

A dependent must file a tax return if he or she owes any other taxes, such as:

  1. Social security and Medicare taxes on tips not reported to his or her employer,

  2. Uncollected social security and Medicare or railroad retirement taxes on tips reported to his or her employer or on group-term life insurance,

  3. Alternative minimum tax,

  4. Recapture taxes, such as the tax from recapture of an education credit, or

  5. Tax on a qualified plan, including an individual retirement arrangement (IRA), or other tax-favored account. But if the dependent is filing a return only because of this tax, the dependent can file Form 5329 by itself.

A dependent must also file a tax return if he or she:

  1. Received any advance earned income credit payments from his or her employers in 2004,

  2. Had wages of $108.28 or more from a church or qualified church-controlled organization that is exempt from employer social security and Medicare taxes, or

  3. Had net earnings from self-employment of at least $400.

Spouse itemizes.   A dependent must file a return if the dependent's spouse itemizes deductions on a separate return and the dependent has $5 or more of gross income (earned and/or unearned).

Should a Return Be Filed Even If Not Required?

Even if a dependent does not meet any of the filing requirements discussed earlier, he or she should file a tax return if either of the following applies.

  1. Income tax was withheld from his or her income.

  2. He or she qualifies for the earned income credit, the additional child tax credit, or the health coverage tax credit. See the tax return instructions to find out who qualifies for these credits.

By filing a return, the dependent can get a refund.

Responsibility for Child's Return

Generally, the child is responsible for filing his or her own tax return and for paying any tax, penalties, or interest on that return. If a child cannot file his or her own return for any reason, such as age, the child's parent or guardian is responsible for filing a return on his or her behalf.

Signing the child's return.   If the child cannot sign his or her return, a parent or guardian can sign the child's name in the space provided at the bottom of the tax return. Then, he or she should add: “By (signature), parent (or guardian) for minor child.

Authority of parent or guardian.   A parent or guardian who signs a return on a child's behalf can deal with the IRS on all matters connected with the return.

  In general, a parent or guardian who does not sign the child's return can only provide information concerning the child's return and pay the child's tax. That parent or guardian is not entitled to receive information from the IRS or legally bind the child to a tax liability arising from the return.

Third party designee.   A child's parent or guardian who does not sign the child's return may be authorized, as a third party designee, to discuss the processing of the return with the IRS as well as provide information concerning the return. The child or the person signing the return on the child's behalf must check the “Yes” box in the “Third Party Designee” area of the return and name the parent or guardian as the designee.

  If designated, a parent or guardian can respond to certain IRS notices and receive information about the processing of the return and the status of a refund or payment. This designation does not authorize the parent or guardian to receive any refund check, bind the child to any tax liability, or otherwise represent the child before the IRS. See the return instructions for more information.

Designated as representative.   A parent or guardian who does not sign the child's return may be designated as the child's representative by the child or the person signing the return on the child's behalf. Form 2848, Power of Attorney and Declaration of Representative, is used to designate a child's representative. See Publication 947, Practice Before the IRS and Power of Attorney, for more information.

  If designated, a parent or guardian can receive information about the child's return but cannot legally bind the child to a tax liability unless authorized to do so by the law of the state in which the child lives.

IRS notice.   If you or the child receives a notice from the IRS concerning the child's return or tax liability, you should immediately inform the IRS that the notice concerns a child. The notice will show who to contact. The IRS will try to resolve the matter with the parent(s) or guardian(s) of the child consistent with their authority.

Child's earnings.   For federal income tax purposes, the income a child receives for his or her personal services (labor) is the child's, even if, under state law, the parent is entitled to and receives that income.

If the child does not pay the tax due on this income, the parent may be liable for the tax.

Child's expenses.   Deductions for payments that are made out of a child's earnings are the child's, even if the payments are made by the parent.

Example.

You made payments on your child's behalf that are deductible as a business expense and a charitable contribution. You made the payments out of your child's earnings. These items can be deducted only on the child's return.

Standard Deduction

The standard deduction for an individual who can be claimed as a dependent on another person's tax return is generally limited to the larger of:

  1. $800, or

  2. The individual's earned income plus $250, but not more than the regular standard deduction (generally $4,850).

However, the standard deduction for a dependent who is age 65 or older or blind is higher.

Certain dependents cannot claim any standard deduction. See Standard Deduction of Zero, later.

Table 2.   Use Table 2 to figure the dependent's standard deduction.

  

Table 2. Standard Deduction Worksheet for Dependents

Use this worksheet only if someone can claim you (or your spouse, if filing jointly) as a dependent.
If you were 65 or older and/or blind, check the correct number of boxes below. Put the total number of boxes checked in box c and go to line 1.
a. You 65 or older
check box
  Blind
check box
 
b. Your spouse, if claiming
spouse's exemption
65 or older
check box
  Blind
check box
 
c. Total boxes checked
Check mark
       
1. Enter your earned income (defined below) plus $250. If none, go on to line 3. 1.    
2. Minimum amount.   2. $800  
3. Compare lines 1 and 2. Enter the larger of the two amounts here. 3.    
4. Enter on line 4 the amount shown below for your filing status.      
  • Single or Married filing separately—$4,850

  • Married filing jointly or qualifying widow(er) with
    dependent child—$9,700

  • Head of household—$7,150

4.    
5. Standard deduction.        
a. Compare lines 3 and 4. Enter the smaller amount here. If under 65 and not blind, stop here. This is your standard deduction. Otherwise, go on to line 5b. 5a. 5a.    
b. If 65 or older or blind, multiply $1,200 ($950 if married or qualifying widow(er) with dependent child) by the number in box c above. Enter the result here. 5b.    
c. Add lines 5a and 5b. This is your standard deduction for 2004. 5c.    
Earned incomeincludes wages, salaries, tips, professional fees, and other compensation received for personal services you performed. It also includes any amount received as a scholarship that you must include in income.  

Example 1.

Michael is single, age 15, and not blind. His parents can claim him as a dependent on their tax return. He has taxable interest income of $800 and wages of $150. He enters $400 (his earned income plus $250) on line 1 of Table 2. On line 3, he enters $800, the larger of $400 or $800. Michael enters $4,850 on line 4. On line 5a, he enters $800, the smaller of $800 or $4,850. His standard deduction is $800.

Example 2.

Judy, a full-time student, is single, age 22, and not blind. Her parents can claim her as a dependent on their tax return. She has dividend income of $275 and wages of $2,500. She enters $2,750 (her earned income plus $250) on line 1 of Table 2. On line 3, she enters $2,750, the larger of $2,750 or $800. She enters $4,850 on line 4. On line 5a, she enters $2,750 (the smaller of $2,750 or $4,850) as her standard deduction.

Example 3.

Amy, who is single, is claimed as a dependent on her parents' tax return. She is 18 and blind. She has taxable interest income of $1,000 and wages of $2,000. She enters $2,250 (her earned income plus $250) on line 1 of Table 2. She enters $2,250 (the larger of $2,250 or $800) on line 3, $4,850 on line 4, and $2,250 (the smaller of $2,250 or $4,850) on line 5a. Because Amy is blind, she checks the box for blindness and enters “1” in box c at the top of Table 2. She enters $1,200 (the number in box c times $1,200) on line 5b. Her standard deduction on line 5c is $3,450 ($2,250 + $1,200).

Standard Deduction of Zero

The standard deduction for the following dependents is zero.

  1. A married dependent filing a separate return whose spouse itemizes deductions.

  2. A dependent who files a return for a period of less than 12 months due to a change in his or her annual accounting period.

  3. A nonresident or dual-status alien dependent, unless the dependent is married to a U.S. citizen or resident at the end of the year and chooses to be treated as a U.S. resident for the year. See Publication 519, U.S. Tax Guide for Aliens, for information on making this choice.

Example.

Jennifer, who is a dependent of her parents, is entitled to file a joint return with her husband. However, her husband elects to file a separate return and itemize his deductions. Because he itemizes, Jennifer's standard deduction on her return is zero. She can, however, itemize any of her allowable deductions.

Dependent's Own Exemption

A person who can be claimed as a dependent on another taxpayer's return cannot claim his or her own exemption. This is true even if the other taxpayer does not actually claim the exemption.

Example.

James and Barbara can claim their child, Ben, as a dependent on their return. Ben is a full-time college student who works during the summer and must file a tax return. Ben cannot claim his own exemption on his return. This is true even if James and Barbara do not claim him as a dependent on their return.

Withholding From Wages

Employers generally withhold federal income tax, social security tax, and Medicare tax from an employee's wages. If the employee claims exemption from withholding on Form W-4, the employer will not withhold federal income tax. The exemption from withholding does not apply to social security and Medicare taxes.

Conditions for exemption from withholding.   An employee can claim exemption from withholding for 2005 only if he or she meets both of the following conditions.
  1. For 2004, the employee had a right to a refund of all federal income tax withheld because he or she had no tax liability.

  2. For 2005, the employee expects a refund of all federal income tax withheld because he or she expects to have no tax liability.

Dependents.   An employee who is a dependent ordinarily cannot claim exemption from withholding if both of the following are true.
  1. The employee's total income will be more than the minimum standard deduction amount. This amount was $800 for 2004, but may be higher for 2005. Check the instructions for the 2005 Form W-4 for the correct amount.

  2. The employee's unearned income will be more than $250.

Exceptions.   An employee who is age 65 or older or blind, or who will claim adjustments to income, itemized deductions, or tax credits on his or her 2005 tax return, may be able to claim exemption from withholding even if the employee is a dependent. For more information, see the discussions under Exemption From Withholding in chapter 1 of Publication 505, Tax Withholding and Estimated Tax.

Example.

Guy is 17 and a student. During the summer he works part time at a grocery store. He expects to earn about $1,000 this year. He also worked at the store last summer and received a refund of all his withheld income tax because he did not have a tax liability. The only other income he expects during the year is $275 interest on a savings account. He expects that his parents will be able to claim him as a dependent on their tax return. He is not blind and will not claim adjustments to income, itemized deductions, or tax credits on his return.

Guy cannot claim exemption from withholding when he fills out Form W-4 because his parents will be able to claim him as a dependent, his total income will be more than $800, the minimum standard deduction amount, and his unearned income will be more than $250.

Claiming exemption from withholding.    To claim exemption from withholding, an employee must enter “Exempt” in the space provided on Form W-4, line 7. The employee must complete the rest of the form, as explained in the form instructions, and give it to his or her employer.

Renewing an exemption from withholding.   An exemption from withholding is good for only one year. An employee must file a new Form W-4 by February 15 each year to continue the exemption.

Part 2. Tax on Investment Income of Child Under 14

Terms you may need to know (see Glossary):

Adjusted gross income
Adjustments to income
Alternative minimum tax
Capital gain distribution
Dependent
Earned income
Gross income
Investment income
Itemized deductions
Net capital gain
Net investment income
Qualified dividends
Standard deduction
Tax year
Taxable income
Unearned income
Unrecaptured section 1250 gain
28% rate gain

The two rules that follow may affect the tax on certain investment income of a child under age 14.

  1. If the child's interest and dividend income total less than $8,000, the child's parent may be able to choose to include that income (including capital gain distributions) on the parent's return rather than file a return for the child. (See Parent's Election To Report Child's Interest and Dividends, later.)

  2. If the child's interest, dividends, and other investment income total more than $1,600, part of that income may be taxed at the parent's tax rate instead of the child's tax rate. (See Tax for Children Under Age 14 Who Have Investment Income of More Than $1,600, later.)

For these rules, the term “child” includes a legally adopted child and a stepchild. These rules apply whether or not the child is a dependent.

These rules do not apply if:

  1. The child is not required to file a tax return (see Filing Requirements in Part 1), or

  2. Neither of the child's parents were living at the end of the tax year.

Which Parent's Return To Use

If a child's parents are married to each other and file a joint return, use the joint return to figure the tax on the investment income of a child under 14. The tax rate and other return information from that return are used to figure the child's tax as explained later under Tax for Children Under Age 14 Who Have Investment Income of More Than $1,600.

Parents Who Do Not File a Joint Return

For parents who do not file a joint return, the following discussions explain which parent's tax return must be used to figure the tax.

Only the parent whose tax return is used can make the election described under Parent's Election To Report Child's Interest and Dividends.

Parents are married.   If the child's parents file separate returns, use the return of the parent with the greater taxable income.

Parents not living together.    If the child's parents are married to each other but not living together, and the parent with whom the child lives (the custodial parent) is considered unmarried, use the return of the custodial parent. If the custodial parent is not considered unmarried, use the return of the parent with the greater taxable income.

  For an explanation of when a married person living apart from his or her spouse is considered unmarried, see Head of Household in Publication 501.

Parents are divorced.   If the child's parents are divorced or legally separated, and the parent who had custody of the child for the greater part of the year (the custodial parent) has not remarried, use the return of the custodial parent.

Custodial parent remarried.   If the custodial parent has remarried, the stepparent (rather than the noncustodial parent) is treated as the child's other parent. Therefore, if the custodial parent and the stepparent file a joint return, use that joint return. Do not use the return of the noncustodial parent.

  If the custodial parent and the stepparent are married, but file separate returns, use the return of the one with the greater taxable income. If the custodial parent and the stepparent are married but not living together, the earlier discussion under Parents not living together applies.

Parents never married.   If a child's parents did not marry each other, but lived together all year, use the return of the parent with the greater taxable income. If the parents did not live together all year, the rules explained earlier under Parents are divorced apply.

Widowed parent remarried.   If a widow or widower remarries, the new spouse is treated as the child's other parent. The rules explained earlier under Custodial parent remarried apply.

Parent's Election To Report Child's Interest and Dividends

You may be able to elect to include your child's interest and dividend income (including capital gain distributions) on your tax return. If you do, your child will not have to file a return.

You can make this election for 2004 only if all the following conditions are met.

  1. Your child was under age 14 at the end of 2004. (A child born on January 1, 1991, is considered to be age 14 at the end of 2004; you cannot make the election for this child.)

  2. Your child is required to file a return for 2004 unless you make this election.

  3. Your child had income only from interest and dividends (including capital gain distributions and Alaska Permanent Fund dividends).

  4. The dividend and interest income was less than $8,000.

  5. No estimated tax payment was made for 2004 and no 2003 overpayment was applied to 2004 under your child's name and social security number.

  6. No federal income tax was taken out of your child's income under the backup withholding rules.

  7. You are the parent whose return must be used when applying the special tax rules for children under age 14. (See Which Parent's Return To Use, earlier.)

These conditions are also shown in Figure 1.

How to make the election.    Make the election by attaching Form 8814 to your Form 1040 or Form 1040NR. (If you make this election, you cannot file Form 1040A or Form 1040EZ.) Attach a separate Form 8814 for each child for whom you make the election. You can make the election for one or more children and not for others.

Effect of Making the Election

The federal income tax on your child's income may be more if you make the Form 8814 election.

Rate may be higher.   If your child received qualified dividends or capital gain distributions, you may pay up to $40 more tax if you make this election instead of filing a separate tax return for the child. This is because the tax rate on the child's income between $800 and $1,600 is 10% if you make this election. However, if you file a separate return for the child, the tax rate may be as low as 5% because of the preferential tax rates for qualified dividends and capital gain distributions.

Deductions you cannot take.   By making the Form 8814 election, you cannot take any of the following deductions that the child would be entitled to on his or her return.
  1. The higher standard deduction for a blind child.

  2. The deduction for a penalty on an early withdrawal of your child's savings.

  3. Itemized deductions (such as your child's investment expenses or charitable contributions).

Deductible investment interest.   If you use Form 8814, your child's investment income is considered your investment income. To figure the limit on your deductible investment interest, add the child's investment income to yours. However, if your child received qualified dividends, capital gain distributions, or Alaska Permanent Fund dividends, see chapter 3 of Publication 550, Investment Income and Expenses, for information about how to figure the limit.

Alternative minimum tax.    If your child received tax-exempt interest from a private activity bond, you must determine if that interest is a tax preference item for alternative minimum tax (AMT) purposes. If it is, you must include it with your own tax preference items when figuring your AMT. For more information, get the instructions for Form 6251, Alternative Minimum Tax—Individuals.

Reduced deductions or credits.   If you use Form 8814, your increased adjusted gross income may reduce certain deductions or credits on your return, including the following.
  1. Deduction for contributions to a traditional individual retirement arrangement (IRA).

  2. Deduction for student loan interest.

  3. Itemized deductions for medical expenses, casualty and theft losses, and certain miscellaneous expenses.

  4. Total itemized deductions.

  5. Personal exemptions.

  6. Credit for child and dependent care expenses.

  7. Child tax credit.

  8. Education tax credits.

  9. Earned income credit.

Penalty for underpayment of estimated tax.   If you make this election for 2004 and did not have enough tax withheld or pay enough estimated tax to cover the tax you owe, you may be subject to a penalty. If you plan to make this election for 2005, you may need to increase your federal income tax withholding or your estimated tax payments to avoid the penalty. Get Publication 505 for more information.

Figuring Child's Income

Use Part I of Form 8814 to figure your child's interest and dividend income to report on your return. Only the amount over $1,600 is added to your income. This amount is shown on line 6 of Form 8814. Include this amount on line 21 of Form 1040 or Form 1040NR. If you file more than one Form 8814, include the total amounts from line 6 of all your Forms 8814 on line 21. In the space next to line 21, enter “Form 8814” and the total of the line 6 amounts.

Note.

The tax on the first $1,600 is figured in Part II of Form 8814. See Figuring Additional Tax, later.

Qualified dividends.   Enter on Form 8814, line 2, any ordinary dividends your child received. This amount may include qualified dividends. Qualified dividends are those dividends reported on line 9b of Form 1040, or line 10b of Form 1040NR and are eligible for the lower tax rates that apply to a net capital gain. For detailed information about qualified dividends, see Publication 550, Investment Income and Expenses.

  If your child received qualified dividends, the amount of these dividends that is added to your income must be reported on Form 1040, lines 9a and 9b, or Form 1040NR, lines 10a and 10b. You do not include these dividends on line 6 of Form 8814 or on line 21 of Form 1040 or Form 1040NR.

  Use the Child's Qualified Dividends and Capital Gain Distributions Worksheet in the instructions for Form 8814 to figure the amount to report as qualified dividends on Form 1040, lines 9a and 9b, or Form 1040NR, lines 10a and 10b, and the amount to report on Form 8814, line 6. (The worksheet is needed to divide the $1,600 base amount on line 5 of Form 8814 between the child's qualified dividends, capital gain distributions, and other interest and dividend income.)

Capital gain distributions.   Enter on Form 8814, line 3, any capital gain distributions your child received. The amount of these distributions that is added to your income must be reported on Schedule D (Form 1040), line 13, or, if you are not required to file Schedule D, on Form 1040, line 13, or Form 1040NR, line 14. You do not include it on line 6 of Form 8814 or on line 21 of Form 1040 or Form 1040NR.

  Use the Child's Qualified Dividends and Capital Gain Distributions Worksheet in the Form 8814 instructions to figure the amount to report as capital gain distributions on Schedule D, or directly on Form 1040, or Form 1040NR and the amount to report on Form 8814, line 6. (The worksheet is needed to divide the $1,600 base amount on line 5 of Form 8814 between the child's qualified dividends, capital gain distributions, and other interest and dividend income.)

Collectibles (28% rate) gain.    If any of the child's capital gain distributions are reported on Form 1099-DIV as collectibles (28% rate) gain, you must determine how much to also include on line 4 of the 28% Rate Gain Worksheet, in the instructions for line 18 of Schedule D. Multiply the child's capital gain distribution included on Schedule D, line 13, by a fraction. The numerator is the part of the child's total capital gain distribution that is collectibles (28% rate) gain. The denominator is the child's total capital gain distribution.

Unrecaptured section 1250 gain.   If any of the child's capital gain distributions are reported on Form 1099-DIV as unrecaptured section 1250 gain, you must determine how much to include on line 11 of the Unrecaptured Section 1250 Gain Worksheet in the instructions for line 19 of Schedule D. Multiply the child's capital gain distribution included on Schedule D, line 13, by a fraction. The numerator is the part of the child's total capital gain distribution that is unrecaptured section 1250 gain. The denominator is the child's total capital gain distribution.
Figure 1. Can You Include Your Child's Income On Your Tax Return?
Please click here for the text description of the image.

Figure 1. Can You Include Your Child's Income On Your Tax Return?

Section 1202 gain.   If any of the child's capital gain distributions are reported as section 1202 gain (gain on qualified small business stock) on Form 1099-DIV, part or all of that gain may be eligible for the section 1202 exclusion. (For information about the exclusion, see chapter 4 of Publication 550.) To figure that part, multiply the child's capital gain distribution included on Schedule D, line 13, by a fraction. The numerator is the part of the child's total capital gain distribution that is section 1202 gain. The denominator is the child's total capital gain distribution. Your section 1202 exclusion is generally 50% of the result, but may be subject to a limit. See the instructions for Schedule D for information on how to report the exclusion amount.

Example.

Fred is 6 years old. In 2004, he received dividend income of $1,700, which included $1,380 of ordinary dividends and a $320 capital gain distribution from a mutual fund. (None of the distributions were reported on Form 1099-DIV as unrecaptured section 1250 gain, section 1202 gain, or collectibles (28% rate) gain.) All of the ordinary dividends are qualified dividends. He has no other income and is not subject to backup withholding. No estimated tax payments were made under his name and social security number.

Fred's parents elect to include Fred's income on their tax return instead of filing a return for him. They enter $1,380 on line 2 and $320 on line 3, Form 8814.

$100 of Fred's income must be included as income on his parents' tax return ($1,700 gross income minus $1,600). They figure the amount to report on Form 1040, lines 9a and 9b, the amount to report on their Schedule D, line 13, and the amount to report on Form 8814, line 6, as follows.

Child's Qualified Dividends and Capital Gain Distributions Worksheet (Keep for your records)

1. Enter the amount of qualified dividends included on Form 8814, line 2   $1,380
2. Enter the amount from
Form 8814, line 3
  320
3. Enter the amount from
Form 8814, line 4
  1,700
4. Divide line 1 by line 3.
Enter the result as a decimal
(rounded to at least 3 places)
  .812
5. Divide line 2 by line 3. Enter
the result as a decimal
(rounded to at least 3 places)
  .188
6. Base amount   $1,600
7. Subtract line 6 from line 3   100
8. Multiply line 7 by line 4.
Include this amount on Form
1040, lines 9a and 9b, or
Form 1040NR, lines 10a and
10b. On the dotted lines next
to those lines, enter “Form
8814
” and this amount (unless
you file Schedule B (Form
1040); in that case, follow the
instructions in the Note on
this line). Also, enter “QD” (for
qualified dividends”) and this
amount on the dotted line next
to line 6 of Form 8814.
Note. If this amount plus the
parents' dividends is more
than $1,500, report this
amount on Schedule B
(Form 1040). Show it as
from “Form 8814
  81
9. Multiply line 7 by line 5.
Include this amount on
Schedule D, line 13;
Form 1040, line 13; or
Form 1040NR, line 14.
Enter “Form 8814” and
this amount on the
dotted line next to line 13 of
Schedule D, or in the
space to the left of line 13
of Form 1040 or line 14
of Form 1040NR.
Also, enter “CGD” (for
capital gain distribution”)
and this amount on the
dotted line next to line 6 of
Form 8814.
  19
10. Add lines 8 and 9   100
11. Subtract line 10 from line 7.
Enter the result here and on
Form 8814, line 6
  0
       

On Form 8814, Fred's parents enter $0 on line 6 and enter “QD–$81” and “CGD–$19” on the dotted line next to line 6. Because the amount on line 6 is -0-, they do not include any amount from Form 8814 on line 21 of their Form 1040.

On Form 1040, they include $81 on lines 9a and 9b and enter “Form 8814–$81” on the dotted line next to each of those lines. On Schedule D, they include $19 on line 13, and enter “Form 8814–$19” on the dotted line next to this line.

Figuring Additional Tax

Use Form 8814, Part II, to figure the tax on the $1,600 of your child's interest and dividends that you do not include in your income. This tax is added to the tax figured on your income.

This additional tax is the smaller of:

  1. 10% x (your child's gross income - $800), or

  2. $80.

Caution
Include the amount from line 9 of all your Forms 8814 in the total on Form 1040, line 43, or Form 1040NR, line 40. Check box a on Form 1040, line 43, or Form 1040NR, line 40.

Illustrated Example

David and Linda Parks are married and will file separate tax returns for 2004. Their only child, Philip, is 8. Philip received a Form 1099-INT showing $3,240 taxable interest income and a Form 1099-DIV showing $360 ordinary dividends. All the dividends were qualified dividends. His parents decide to include that income on one of their returns so they will not have to file a return for Philip.

First, David and Linda each figure their taxable income (Form 1040, line 42) without regard to Philip's income. David's taxable income is $41,700 and Linda's is $59,300. Because her taxable income is greater, Linda can elect to include Philip's income on her return. (See Which Parent's Return To Use, earlier.)

On Form 8814 (illustrated on the next page), Linda enters her name and social security number, then Philip's name and social security number. She enters Philip's taxable interest income, $3,240, on line 1a. Philip had no tax-exempt interest income, so she leaves line 1b blank. Linda enters Philip's ordinary dividends, $360, on line 2. Philip did not have any capital gain distributions, so she leaves line 3 blank.

Linda adds lines 1a and 2 and enters the result, $3,600, on line 4. Because Philip had qualified dividends, Linda must use the Child's Qualified Dividends and Capital Gain Distributions Worksheet to figure the amount to enter on line 6, instead of subtracting line 5 from line 4. The amount she enters on line 6 is $1,800, the amount from line 11 of the worksheet. On the dotted line next to line 6, she enters “QD–$200,” the amount from line 8 of the worksheet. She includes that amount ($200) on lines 9a and 9b of her Form 1040. On the dotted line next to lines 9a and 9b, she enters “Form 8814–$200.

<emphasis role="bold">Child's Qualified Dividends</emphasis> 3 <emphasis role="bold">and Capital Gain Distributions Worksheet</emphasis> <emphasis role="bold">(Keep for your records)</emphasis>
1. Enter the amount of qualified dividends included on Form 8814, line 2   $360
2. Enter the amount from
Form 8814, line 3
  0
3. Enter the amount from
Form 8814, line 4
  3,600
4. Divide line 1 by line 3. Enter the result as a decimal (rounded to at least 3 places)   .100
5. Divide line 2 by line 3. Enter the result as a decimal (rounded to at least 3 places)   .000
6. Base amount   $1,600
7. Subtract line 6 from line 3   2,000
8. Multiply line 7 by line 4.
Include this amount on Form
1040, lines 9a and 9b, or
Form 1040NR, lines 10a and
10b. On the dotted lines next
to those lines, enter “Form
8814
” and this amount (unless
you file Schedule B (Form
1040); in that case, follow the
instructions in the Note on
this line). Also, enter “QD” (for
qualified dividends”) and this
amount on the dotted line next
to line 6 of Form 8814.
Note. If this amount plus the
parents' dividends is more
than $1,500, report this
amount on Schedule B
(Form 1040). Show it as
from “Form 8814
  200
9. Multiply line 7 by line 5.
Include this amount on
Schedule D, line 13;
Form 1040, line 13; or
Form 1040NR, line 14.
Enter “Form 8814” and
this amount on the
dotted line next to line 13 of
Schedule D, or in the
space to the left of line 13
of Form 1040 or line 14
of Form 1040NR.
Also, enter “CGD” (for
capital gain distribution”)
and this amount on the
dotted line next to line 6 of
Form 8814.
  0
10. Add lines 8 and 9   200
11. Subtract line 10 from line 7.
Enter the result here and on
Form 8814, line 6
  1,800
       

Linda includes $1,800 in the total on line 21 of her Form 1040 (not illustrated) and in the space next to that line writes “Form 8814–$1,800.” Adding that amount, plus the $200 of qualified dividends, to her income increases each of the amounts on lines 22, 36, 37, 40, and 42 of her Form 1040 by $2,000. Linda is not claiming any deductions or credits that are affected by the increase to her income. Therefore, her revised taxable income on line 42 is $61,300 ($59,300 + $200 + $1,800).

On Form 8814, Linda subtracts the $800 shown on line 7 from the $3,600 on line 4 and enters the result, $2,800, on line 8. Because that amount is not less than $800, she enters $80 on line 9. This is the tax on the first $1,600 of Philip's income, which Linda did not have to add to her income. She must add this additional tax to the tax figured on her revised taxable income.

The tax on her $61,300 revised taxable income is $12,150. She adds $80, and enters the $12,230 total on Form 1040, line 43, and checks box a.

Linda attaches Form 8814 to her Form 1040.

Tax for Children Under Age 14 Who Have Investment Income of More Than $1,600

Part of a child's 2004 investment income may be subject to tax at the parent's tax rate if all of the following statements are true.

  1. The child was under age 14 at the end of 2004. (A child born on January 1, 1991, is considered to be age 14 at the end of 2004; this child's investment income is not taxed at the parent's tax rate.)

  2. The child's investment income was more than $1,600.

  3. The child is required to file a tax return for 2004.

These conditions are also shown in Figure 2.

If neither parent was alive on December 31, 2004, do not use Form 8615. Instead, figure the child's tax in the normal manner.

If the parent does not or cannot choose to include the child's income on the parent's return, use Form 8615 to figure the child's tax. Attach the completed form to the child's Form 1040, Form 1040A, or Form 1040NR.

The following discussions explain the parental information needed for Form 8615 and the steps to follow in figuring the child's tax.

Providing Parental Information (Form 8615, Lines A–C)

On Form 8615, lines A and B, enter the parent's name and social security number. (If the parents filed a joint return, enter the name and social security number listed first on the joint return.) On line C, check the box for the parent's filing status.

See Which Parent's Return To Use, earlier, for a discussion of which parent's return information must be used on Form 8615.

Parent with different tax year.   If the parent and the child do not have the same tax year, complete Form 8615 using the information on the parent's return for the tax year that ends in the child's tax year.

Example.

Kimberly must use her mother's tax and taxable income to complete her Form 8615 for calendar year 2004 (January 1 – December 31). Kimberly's mother files her tax return on a fiscal year basis (July 1 – June 30). Kimberly must use the information on her mother's return for the tax year ending June 30, 2004, to complete her 2004 Form 8615.

Parent's return information not known timely.   If the information needed from the parent's return is not known by the time the child's return is due (usually April 15), you can file the return using estimates.

  You can use any reasonable estimate. This includes using information from last year's return. If you use an estimated amount on Form 8615, enter “Estimated” on the line next to the amount.

  When you get the correct information, file an amended return on Form 1040X, Amended U.S. Individual Income Tax Return.

Extension of time to file.   Instead of using estimates, you can get an automatic 4-month extension of time to file if, by April 15, 2005, you file Form 4868, Application for Automatic Extension of Time To File U.S. Individual Income Tax Return. You can file a paper Form 4868 or you can file it electronically. See the instructions for Form 4868 for details.

   If you have an extension, you must file the child's return by August 15, 2005, unless you ask for and are granted an additional extension.

  
Caution
An extension of time to file is not an extension of time to pay. You must make an accurate estimate of the tax for 2004. If you do not pay the full amount due by the regular due date, the child will owe interest and may also be charged penalties. See Form 4868 and its instructions.

Parent's return information not available.   If a child cannot get the required information about his or her parent's tax return, the child (or the child's legal representative) can request the necessary information from the Internal Revenue Service (IRS).

How to request.   After the end of the tax year, send a signed, written request for the information to the Internal Revenue Service Center where the parent's return will be filed. (The IRS cannot process a request received before the end of the tax year.)

  
Tip
You should also consider getting an extension of time to file the child's return, because there may be a delay in getting the requested information.

  The request must contain all of the following.
  1. A statement that you are making the request to comply with section 1(g) of the Internal Revenue Code and that you have tried to get the information from the parent.

  2. Proof the child is under 14 years of age (for example, a copy of the child's birth certificate).

  3. Evidence the child has more than $1,600 of unearned income (for example, a copy of the child's prior year tax return or copies of Forms 1099 for the current year).

  4. The name, address, social security number (if known), and filing status (if known) of the parent whose information is to be shown on Form 8615.

   A child's legal representative making the request should include a copy of his or her Power of Attorney, such as Form 2848, or proof of legal guardianship.

Step 1. Figuring the Child's Net Investment Income (Form 8615, Part I)

The first step in figuring a child's tax using Form 8615 is to figure the child's net investment income. To do that, use Form 8615, Part I. For an example, see the Illustrated Part I of Form 8615 on the next page.

Line 1 (Investment Income)

If the child had no earned income, enter on this line the adjusted gross income shown on the child's return. Adjusted gross income is shown on line 37 of Form 1040; line 22 of Form 1040A; or line 35 of Form 1040NR. Form 1040EZ and Form 1040NR-EZ cannot be used if Form 8615 must be filed.

If the child had earned income, figure the amount to enter on Form 8615, line 1, by using the worksheet in the instructions for the form.

Worksheet you may need to fill in
However, use the following worksheet if the child has excluded any foreign earned income or deducted a loss from self-employment or a net operating loss from another year.

Alternate Worksheet
for Line 1 of Form 8615
A. Enter the amount from the child's Form 1040, line 22, or Form 1040NR, line 23  
B. Enter the total of any net loss
from self-employment, any net operating loss deduction, any foreign earned income exclusion, and any foreign housing exclusion from the child's Form 1040 or Form 1040NR. Enter this total
as a positive number (greater
than zero)
 
C. Add line A and line B and
enter the total.
 
D. Enter the child's earned income plus any amount from line 33 of
the child's Form 1040 or line 31
of the child's Form 1040NR.
 
 
  Generally, the child's earned income is the total of the amounts reported on Form 1040, lines 7, 12, and 18 (if line 12 or 18 is a loss, use zero) or Form 1040NR, lines 8, 13, and 19 (if line 13 or
19 is a loss, use zero)
 
E. Subtract line D from line C.
Enter the result here and on
Form 8615, line 1
 

Investment income defined.   Investment income is generally all income other than salaries, wages, and other amounts received as pay for work actually done. It includes taxable interest, dividends, capital gains (including capital gain distributions), the taxable part of social security and pension payments, and certain distributions from trusts. Investment income includes amounts produced by assets the child obtained with earned income (such as interest on a savings account into which the child deposited wages).

Nontaxable income.   For this purpose, investment income includes only amounts the child must include in total income. Nontaxable investment income, such as tax-exempt interest and the nontaxable part of social security and pension payments, is not included.

Capital loss.   A child's capital losses are taken into account in figuring the child's investment income. Capital losses are first applied against capital gains. If the capital losses are more than the capital gains, the difference (up to $3,000) is subtracted from the child's interest, dividends, and other investment income. Any difference over $3,000 is carried to the next year.

Income from property received as a gift.   A child's investment income includes all income produced by property belonging to the child. This is true even if the property was transferred to the child, regardless of when the property was transferred or purchased or who transferred it.

  A child's investment income includes income produced by property given as a gift to the child. This includes gifts to the child from grandparents or any other person and gifts made under the Uniform Gift to Minors Act.

Example.

Amanda Black, age 13, received the following income.

  • Dividends—$600

  • Wages—$2,100

  • Taxable interest—$1,200

  • Tax-exempt interest—$100

  • Capital gains—$300

  • Capital losses—($200)

The dividends were qualified dividends on stock given to her by her grandparents.

Amanda's investment income is $1,900. This is the total of the dividends ($600), taxable interest ($1,200), and capital gains reduced by capital losses ($300 - $200 = $100). Her wages are earned (not investment) income because they are received for work actually done. Her tax-exempt interest is not included because it is nontaxable.

Trust income.   If a child is the beneficiary of a trust, distributions of taxable interest, dividends, capital gains, and other investment income from the trust are investment income to the child.

Adjustment to income.   In figuring the amount to enter on line 1, the child's investment income is reduced by any penalty on the early withdrawal of savings.

Line 2 (Deductions)

If the child does not itemize deductions on Schedule A (Form 1040 or Form 1040NR), enter $1,600 on line 2.

If the child does itemize deductions, enter on line 2 the larger of:

  1. $800 plus the child's itemized deductions that are directly connected with the production of the investment income entered on line 1, or

  2. $1,600.

Directly connected.   Itemized deductions are directly connected with the production of investment income if they are for expenses paid to produce or collect taxable income or to manage, conserve, or maintain property held for producing income. These expenses include custodian fees and service charges, service fees to collect taxable interest and dividends, and certain investment counsel fees.

   These expenses are added to certain other miscellaneous itemized deductions on Schedule A (Form 1040). Only the amount greater than 2% of the child's adjusted gross income can be deducted. See Publication 529, Miscellaneous Deductions, for more information.

Example 1.

Roger, age 12, has investment income of $8,000, no other income, no adjustments to income, and itemized deductions of $300 (net of the 2%-of-adjusted-gross-income limit) that are directly connected with his investment income. His adjusted gross income is $8,000, which is entered on Form 1040, line 37, and on Form 8615, line 1. Line 2 is $1,600 because that is more than the sum of $800 and his directly-connected itemized deductions of $300.

Example 2.

Eleanor, age 8, has investment income of $16,000 and an early withdrawal penalty of $100. She has no other income. She has itemized deductions of $1,050 (net of the 2%-of-adjusted-gross-income limit) that are directly connected with the production of her investment income. Her adjusted gross income, entered on line 1, is $15,900 ($16,000 - $100). The amount on line 2 is $1,850. This is the larger of:

  1. $800 plus the $1,050 of directly connected itemized deductions, or

  2. $1,600.

Line 3

Subtract line 2 from line 1 and enter the result on this line. If zero or less, do not complete the rest of the form. However, you must still attach Form 8615 to the child's tax return. Figure the tax on the child's taxable income in the normal manner.

Line 4 (Child's Taxable Income)

Enter on line 4 the child's taxable income from Form 1040, line 42; Form 1040A, line 27; or Form 1040NR, line 39.

Line 5 (Net Investment Income)

A child's net investment income cannot be more than his or her taxable income. Enter on line 5 the smaller of line 3 or line 4 of Form 8615. This is the child's net investment income.

If zero or less, do not complete the rest of the form. However, you must still attach Form 8615 to the child's tax return. Figure the tax on the child's taxable income in the normal manner.

Step 2. Figuring a Tentative Tax at the Parent's Tax Rate (Form 8615, Part II)

The next step in completing Form 8615 is to figure a tentative tax on the child's net investment income at the parent's tax rate. The tentative tax at the parent's tax rate is the difference between the tax on the parent's taxable income figured with the child's net investment income (plus the net investment income of any other child whose Form 8615 includes the tax return information of that parent) and the tax figured without it.

When figuring the tentative tax at the parent's tax rate, do not refigure any of the exclusions, deductions, or credits on the parent's return because of the child's net investment income. For example, do not refigure the medical expense deduction.

Figure the tentative tax on lines 6 through 13. For an example, see the Illustrated Part II of Form 8615.

Line 6 (Parent's Taxable Income)

Enter on line 6 the amount from the parent's Form 1040, line 42; Form 1040A, line 27; Form 1040EZ, line 6; TeleFile Tax Record, line K(1); Form 1040NR, line 39; or Form 1040NR-EZ, line 14. If the parent's taxable income is zero or less, enter zero on line 6.

Line 7 (Net Investment Income of Other Children)

If the tax return information of the parent is also used on any other child's Form 8615, enter on line 7 the total of the amounts from line 5 of all the other children's Forms 8615. Do not include the amount from line 5 of the Form 8615 being completed.

Example.

Paul and Jane Persimmon have three children, Sharon, Jerry, and Mike, who must attach Form 8615 to their tax returns. The children's net investment income amounts on line 5 of their Forms 8615 are:

  • Sharon—$800

  • Jerry—$600

  • Mike—$1,000

Line 7 of Sharon's Form 8615 will show $1,600, the total of the amounts on line 5 of Jerry's and Mike's Forms 8615.

Line 7 of Jerry's Form 8615 will show $1,800 ($800 + $1,000).

Line 7 of Mike's Form 8615 will show $1,400 ($800 + $600).

Other children's information not available.   If the net investment income of the other children is not available when the return is due, either file the return using estimates or get an extension of time to file. Estimates and extensions are discussed earlier under Providing Parental Information (Form 8615, Lines A–C).

Line 8 (Parent's Taxable Income Plus Children's Net Investment Income)

Enter on this line the total of lines 5, 6, and 7. You must determine the amount of net capital gain and qualified dividends included on this line before completing line 9 of Form 8615.

Net capital gain.   Net capital gain is the smaller of the gain, if any, on Schedule D, line 15, or the gain, if any, on Schedule D, line 16. If Schedule D is not required, it is the amount on Form 1040, line 13; Form 1040A, line 10; or Form 1040NR, line 14.

Qualified dividends.   Qualified dividends are those dividends reported on line 9b of Form 1040 or Form 1040A, or line 10b of Form 1040NR.

Net capital gain and qualified dividends on line 8.   If neither the child nor the parent nor any other child has net capital gain, the net capital gain on line 8 is zero.

  If neither the child, nor the parent, nor any other child has qualified dividends, the amount of qualified dividends on line 8 is zero.

  If the child, parent, or any other child has net capital gain, figure the amount of net capital gain included on line 8 by adding together the net capital gain amounts included on lines 5, 6, and 7 of Form 8615. If the child, parent, or any other child has qualified dividends, figure the amount of qualified dividends included on line 8 by adding together the qualified dividend amounts included on lines 5, 6, and 7. Use the Line 5 Worksheet in the instructions for Form 8615, line 8, to find these amounts.

Line 9 (Tax on Parent's Taxable Income Plus Children's Net Investment Income)

Figure the tax on the amount on line 8 using the Tax Table, the Tax Computation Worksheet, the Qualified Dividends and Capital Gain Tax Worksheet (in the Form 1040, 1040A, or 1040NR instructions), the Schedule D Tax Worksheet (in the Schedule D instructions) or Schedule J (Form 1040), as follows.

  • If line 8 does not include any net capital gain or qualified dividends, use the Tax Table or Tax Computation Worksheet to figure this tax. But if Schedule J, Income Averaging for Farmers and Fishermen, is used to figure the tax on the parent's return, use it to figure this tax.

  • If line 8 does include any net capital gain or qualified dividends, use the Qualified Dividends and Capital Gain Tax Worksheet to figure this tax. For details, see the instructions for Form 8615, line 9. However, if the child, parent, or another child has 28% rate gain or unrecaptured section 1250 gain, use the Schedule D Tax Worksheet. But if Schedule J is used to figure the tax on the parent's return, use it to figure this tax.

Using the Schedule D Tax Worksheet for line 9 tax.    Use the Schedule D Tax Worksheet in the Schedule D instructions to figure the line 9 tax on Form 8615 if the child, parent, or any other child has unrecaptured section 1250 gain or 28% rate gain. If you must use the Schedule D Tax Worksheet, first complete any Schedule D and any actual Schedule D Tax Worksheet required for the child, parent, or any other child. Then figure the line 9 tax using another Schedule D Tax Worksheet. (Do not attach this Schedule D Tax Worksheet to the child's return.)

  Complete this Schedule D Tax Worksheet as follows.
  1. On line 1, enter the amount from line 8 of Form 8615.

  2. On line 2, enter the qualified dividends included on line 8 of Form 8615. (See the earlier discussion for line 8.)

  3. On line 3, enter the total of the amounts, if any, on line 4g of all Forms 4952 filed by the child, parent, or any other child.

  4. On line 4, enter the total of the amounts, if any, on line 4e of all Forms 4952 filed by the child, parent, or any other child. If applicable, include instead the smaller amount entered on the dotted line next to line 4e.

  5. On lines 5 and 6, follow the worksheet instructions.

  6. On line 7, enter the net capital gain included on line 8 of Form 8615. (See the earlier discussion for line 8.)

  7. On lines 8 through 10, follow the worksheet instructions.

  8. On line 11, enter zero if neither the child, parent, nor any other child has unrecaptured section 1250 gain (line 19 of Schedule D) or 28% rate gain (line 18 of Schedule D). Otherwise, enter the amount of unrecaptured section 1250 gain and 28% rate gain included in the net capital gain on line 8. Figure these amounts as explained later under Figuring unrecaptured section 1250 gain (line 11) and Figuring 28% rate gain (line 11).

  9. Complete lines 12 through 37, following the worksheet instructions. Use the parent's filing status to complete lines 15, 34, and 36.

Enter the amount from line 37 of this Schedule D Tax Worksheet on Form 8615, line 9, and check the box on that line.

Figuring 28% rate gain (line 11).   If the child, parent, or any other child has 28% rate gain, figure the amount of 28% rate gain included in the net capital gain on line 8 using the following worksheet.

  
Worksheet 1 for Line 11 of the Schedule D
Tax Worksheet – 28% Rate Gain
(Line 9 Tax)
1. Enter the amount , if any, from line 18 of the child's Schedule D.  
  If line 1 is zero or blank, skip lines 2 through 4, enter -0- on line 5, and go to line 6.  
2. Enter the amount from the last
line of the child's completed
Line 5 Worksheet in the
instructions for Form 8615, line 8
 
3. Enter the amount from line 2
of the child's completed
Line 5 Worksheet
 
4. Divide line 2 by line 3. Enter
the result as a decimal
 
5. Multiply line 1 by line 4  
6. If no other child has 28% rate gain, enter -0-. Otherwise, repeat lines 1 through 5 above
for each other child who has
28% rate gain and enter the total
of the line 5 amounts for those other children
 
7. Enter the amount, if any, from line 18 of the parent's Schedule D.  
8. Add lines 5, 6, and 7. Also include this amount on line 11 of the Schedule D Tax Worksheet  

Figuring unrecaptured section 1250 gain (line 11).   If the child, parent, or any other child has unrecaptured section 1250 gain, figure the amount of unrecaptured section 1250 gain included in the net capital gain on line 8 using the following worksheet.

  
Worksheet 2 for Line 11 of the Schedule D
Tax Worksheet – Unrecaptured
Section 1250 Gain
(Line 9 Tax)
1. Enter the amount, if any, from line 19 of the child's Schedule D  
  If line 1 is zero or blank, skip lines 2 through 4, enter -0-
on line 5, and go to line 6.
 
2. Enter the amount, if any, from
the last line of the child's
completed Line 5 Worksheet in the instructions for Form 8615, line 8
 
3. Enter the amount from line 2 of the child's completed Line 5 Worksheet  
4. Divide line 2 by line 3. Enter
the result as a decimal
 
5. Multiply line 1 by line 4  
6. If no other child has unrecaptured section 1250 gain, enter -0-. Otherwise, repeat lines 1 through 5 for each other child who has unrecaptured section 1250 gain and enter the total of the line 5 amounts for those children  
7. Enter the amount, if any, from line 19 of the parent's Schedule D  
8. Add lines 5, 6, and 7. Also include this amount on line 11 of the Schedule D Tax Worksheet  

Using Schedule J for line 9 tax.   Use Schedule J, Income Averaging for Farmers and Fishermen, to figure the line 9 tax on Form 8615 if Schedule J is used to figure the tax on the parent's return. First complete the actual Schedule J for the parent, then use another Schedule J as a worksheet to figure the tax to enter on line 9 of Form 8615. (Do not attach this worksheet to the child's return.)

   Complete this worksheet Schedule J as follows.
  1. On line 1, enter the amount from line 8 of Form 8615.

  2. On line 2, enter the amount from the parent's Schedule J, line 2.

  3. Complete line 3 following the Schedule J instructions.

  4. Complete line 4. If line 8 of Form 8615 includes any net capital gain, use the Qualified Dividends and Capital Gain Tax Worksheet to figure the tax amount on this line. For details on how to use the worksheet, see the instructions for Form 8615, line 9, but use the amount on line 3 of this worksheet Schedule J (instead of the amount on line 8 of Form 8615) in step (1) of Using the Qualified Dividends and Capital Gain Tax Worksheet for line 9 tax. However, if the child, parent, or any other child has 28% rate gain, or unrecaptured section 1250 gain, use the Schedule D Tax Worksheet. Follow the earlier instructions under Using the Schedule D Tax Worksheet for line 9 tax, except use the amount on line 3 of this worksheet Schedule J (instead of the amount on line 8 of Form 8615) in step (1).

  5. On lines 5 through 16, enter the amounts from the parent's Schedule J, lines 5 through 16.

  6. Complete line 17 following the Schedule J instructions.

  7. On lines 18 through 21, enter the amounts from the parent's Schedule J, lines 18 through 21.

  8. Complete line 22 following the Schedule J instructions.

Enter the amount from line 22 of this worksheet Schedule J on Form 8615, line 9, and check the box on that line.

Line 10 (Parent's Tax)

Enter on line 10 the amount from the parent's Form 1040, line 43; Form 1040A, line 28 (minus any alternative minimum tax); Form 1040EZ, line 10; TeleFile Tax Record, line K (2); Form 1040NR, line 40; or Form 1040NR-EZ, line 15. Do not include the tax, if any, from Form 4972 or Form 8814.

Line 11 (Tentative Tax)

Subtract line 10 from line 9 and enter the result on this line. This is the tentative tax.

If line 7 is blank, skip lines 12a and 12b and enter the amount from line 11 on line 13. Also skip the discussion for lines 12a and 12b that follows.

Lines 12a and 12b (Dividing the Tentative Tax)

If an amount is entered on line 7, divide the tentative tax shown on line 11 among the children according to each child's share of the total net investment income. This is done on lines 12a, 12b, and 13. Add the amount on line 7 to the amount on line 5 and enter the total on line 12a. Divide the amount on line 5 by the amount on line 12a and enter the result, as a decimal, on line 12b.

Example.

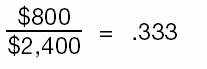
In the earlier example under Line 7 (Net Investment Income of Other Children), Sharon's Form 8615 shows $1,600 on line 7. The amount entered on line 12a is $2,400, the total of the amounts on lines 5 and 7 ($800 + $1,600). The decimal on line 12b is .333, figured as follows and rounded to three places.

Line 13 (Child's Share of Tentative Tax)

If an amount is entered on line 7, multiply line 11 by the decimal on line 12b and enter the result on line 13. This is the child's share of the tentative tax.

Step 3. Figuring the Child's Tax

The final step in figuring a child's tax using Form 8615 is to determine the larger of:

  1. The total of:

    1. The child's share of the tentative tax based on the parent's tax rate, plus

    2. The tax on the child's taxable income in excess of net investment income, figured at the child's tax rate, or

  2. The tax on the child's taxable income, figured at the child's tax rate.

This is the child's tax. It is figured on lines 14 through 18 of Form 8615.

Line 14 (Child's Taxable Income in Excess of Net Investment Income)

If lines 4 and 5 of Form 8615 are the same, the child's taxable income does not exceed the child's net investment income. Enter zero on lines 14 and 15, and go to line 16. Also skip the rest of this discussion and the discussion for line 15 that follows.

If lines 4 and 5 are not the same, subtract line 5 from line 4 and enter the result on line 14. Then, before completing line 15, you must determine the amount of net capital gain and qualified dividends, if any, included on line 14.

Net capital gain and qualified dividends on line 14.   If the child does not have any net capital gain or qualified dividends, the amount of the net capital gain and qualified dividends included on line 14 is zero.

  If the child has net capital gain, the amount of net capital gain included on line 14 is the amount from line 2 of the child's completed Line 5 Worksheet minus the amount from the last line of that worksheet. (See the earlier discussion for line 8 of Form 8615.)

  If the child has qualified dividends, the amount of qualified dividends included on line 14 is the amount from line 1 of the child's completed Line 5 Worksheet minus the amount from the next to the last line of that worksheet. (See the earlier discussion for line 8 of Form 8615.)

Line 15 (Tax on Child's Taxable Income in Excess of Net Investment Income)

Figure the tax on the amount on line 14 using the Tax Table, the Tax Computation Worksheet, the Qualified Dividends and Capital Gain Tax Worksheet, the Schedule D Tax Worksheet, or Schedule J (Form 1040), as follows.

  • If line 14 does not include any net capital gain or qualified dividends, use the Tax Table or Tax Computation Worksheet (or Schedule J, if applicable) to figure this tax.

  • If line 14 does include any net capital gain or qualified dividends, use the Qualified Dividends and Capital Gain Tax Worksheet to figure this tax. For details, see the instructions for Form 8615, line 15. However, if the child has 28% rate gain or unrecaptured section 1250 gain, use the Schedule D Tax Worksheet. (But use Schedule J instead, if it applies.)

Using the Schedule D Tax Worksheet for line 15 tax.   Use the Schedule D Tax Worksheet in the Schedule D instructions to figure the line 15 tax on Form 8615 if the child has unrecaptured section 1250 gain or 28% rate gain. Do not attach this Schedule D Tax Worksheet to the child's return.

  Complete this Schedule D Tax Worksheet as follows.
  1. On line 1, enter the amount from line 14 of Form 8615.

  2. On line 2, enter the qualified dividends included on line 14 of Form 8615. (See the earlier discussion for line 14.)

  3. Leave lines 3 through 5 blank.

  4. Enter the amount from line 2 on line 6.

  5. On line 7, enter the net capital gain included on line 14 of Form 8615. (See the earlier discussion for line 14.)

  6. Skip line 8.

  7. Enter the amount from line 7 on line 9.

  8. Complete line 10, following the worksheet instructions.

  9. On line 11, enter zero if the child has no 28% rate gain (line 18 of Schedule D) or unrecaptured section 1250 gain (line 19 of Schedule D). Otherwise, see Worksheet 1 for Line 11 of the Schedule D Tax Worksheet – 28% Rate Gain (Line 9 Tax) and Worksheet 2 for Line 11 of the Schedule D Tax Worksheet – Unrecaptured Section 1250 Gain (Line 9 Tax) under Using the Schedule D Tax Worksheet for line 9 tax, earlier. For each worksheet you complete, subtract line 5 of that worksheet from line 1 of that worksheet, and include the result on line 11 of this worksheet.

  10. Complete lines 12 through 14, following the worksheet instructions.

  11. Complete lines 15 through 37, following the worksheet instructions. Use the child's filing status to complete lines 15, 34, and 36.

Enter the amount from line 37 of this Schedule D Tax Worksheet on line 15 of Form 8615 and check the box on that line.

Using Schedule J for line 15 tax.   If Schedule J applies, use it as a worksheet to figure the tax to enter on line 15 of Form 8615. On line 1 of this worksheet, enter the amount from line 14 of Form 8615. Complete lines 2 through 22 following the Schedule J instructions. Use the child's filing status to complete lines 4, 8, 12, and 16.

  Enter the amount from line 22 of this worksheet Schedule J on line 15 of Form 8615 and check the box on that line. Do not attach this worksheet to the child's return.

Line 16 Combined Tax

Add lines 13 and 15 and enter the total on line 16. This is the child's tax figured at the parent's rate on net investment income and the child's rate on other income.

Line 17 (Tax at Child's Rate)

Figure the tax on line 4 (the child's taxable income). Use the Tax Table, the Tax Computation Worksheet, the Qualified Dividends and Capital Gain Tax Worksheet, the Schedule D Tax Worksheet, or the child's actual Schedule J, whichever applies. Enter the tax amount on line 17. If it is from the Qualified Dividends and Capital Gain Tax Worksheet, the Schedule D Tax Worksheet, or Schedule J, check the box on that line.

Line 18 (Tax)

Enter on line 18 the larger of line 16 or line 17. Also enter this amount on the child's Form 1040, line 43; Form 1040A, line 28; or Form 1040NR, line 40. This is the child's tax.

Alternative Minimum Tax

A child may be subject to alternative minimum tax (AMT) if he or she has certain items given preferential treatment under the tax law. These items include accelerated depreciation and certain tax-exempt interest income. The AMT may also apply if the child has passive activity losses or certain distributions from estates or trusts.

For more information on who is liable for AMT and how to figure it, get Form 6251.

Limit on exemption amount.    Ordinarily, single people can subtract a $40,250 exemption amount from their AMT taxable income. However, a child who files Form 8615 has a limited exemption amount. The child's exemption amount for 2004 is limited to the child's earned income plus $5,750. Figure the child's allowable exemption amount on the worksheet in the instructions for line 29 of Form 6251.

Illustrated Example

This example shows how to fill out Forms 8615 and 1040A for Sara Brown. It also shows how to use the Qualified Dividends and Capital Gain Tax Worksheet in the Form 1040A instructions to figure Sara's tax.

John and Laura Brown have one child, Sara. She is 13 and has $1,050 taxable interest, $1,050 qualified dividend income, $700 capital gain distributions, and $1,550 earned income. She does not itemize deductions. John and Laura file a joint return with John's name and social security number listed first. They claim three exemptions, including an exemption for Sara, on their return.

Because she is under age 14 and has more than $1,600 investment income, part of her income may be subject to tax at her parents' rate. A completed Form 8615 must be attached to her return.

Sara's father, John, fills out Sara's return. He completes her Form 1040A through line 27, then begins completing her Form 8615.

John enters his name and social security number on Sara's Form 8615 because his name and number are listed first on the joint return he and Laura are filing. He checks the box for married filing jointly.

He enters Sara's investment income, $2,800, on line 1. Sara does not itemize deductions, so John enters $1,600 on line 2. He enters $1,200 ($2,800 - $1,600) on line 3.

Sara's taxable income, as shown on line 27 of her Form 1040A, is $2,550. This is her total income ($4,350) minus her standard deduction ($1,800). Her standard deduction is limited to the amount of her earned income plus $250. John enters $2,550 on line 4.

John compares lines 3 and 4 and enters the smaller amount, $1,200, on line 5.

John enters $48,000 on line 6. This is the taxable income from line 42 of John and Laura's joint Form 1040 return. Sara is an only child, so line 7 is blank. He adds line 5 ($1,200), line 6 ($48,000), and line 7 (blank) and enters $49,200 on line 8.

Because Sara's capital gain distributions and qualified dividends are included on line 5, John uses Line 5 Worksheet #1 (in the instructions for Form 8615) to figure out that $300 net capital gain and $450 qualified dividends are included on line 5. He completes that worksheet as follows.

Line 5 Worksheet #1
1. Enter the child's qualified dividends $1,050
2. Enter the child's net capital gain 700
3. Enter the amount from the child's Form 8615, line 1 2,800
4. Divide line 1 by line 3. Enter the result as a decimal (rounded to at least 3 places). Do not enter more than 1.000 375
5. Divide line 2 by line 3. Enter the result as a decimal (rounded to at least 3 places). Do not enter more than 1.000 250
6. Multiply $1,600 by line 4 600
7. Multiply $1,600 by line 5 400
8. Qualified dividends on Form 8615, line 5. Subtract line 6 from line 1 (but do not enter less than zero or more than the amount on Form 8615, line 5) 450
9. Net capital gain on Form 8615, line 5. Subtract line 7 from line 2 (but do not enter less than zero or
more than the excess of Form
8615, line 5, over line 8 of this worksheet)
300

Therefore, line 8 of Sara's Form 8615 also includes net capital gain of $300 and qualified dividends of $450. John uses the Qualified Dividends and Capital Gain Tax Worksheet (in the Form 1040A instructions) and follows the instructions under Using the Qualified Dividends and Capital Gain Tax Worksheet for line 9 tax in the Form 8615 instructions to figure the tax to enter on line 9 of Sara's Form 8615.

John enters $450 on line 2 of the Qualified Dividends and Capital Gain Tax Worksheet, and $300 on line 3 of that worksheet. That completed worksheet is shown later as Filled-in Qualified Dividends and Capital Gain Tax Worksheet #1. John enters the tax of $6,594 on line 9 of Sara's Form 8615.

He enters the tax from his and Laura's Form 1040 ($6,489) on line 10 of Sara's Form 8615, subtracts that amount from the $6,594 on line 9, and enters the $105 remainder on line 11. Because line 7 is blank, John skips lines 12a and 12b and enters $105 on line 13.

John subtracts line 5 ($1,200) from line 4 ($2,550) and enters the result, $1,350 on line 14. Using the instructions for line 14 earlier, John subtracts the net capital gain included on line 5 ($300) from Sara's net capital gain ($700) to figure the $400 net capital gain included on line 14. He also subtracts the qualified dividends included on line 5 ($450) from Sara's qualified dividends ($1,050) to figure the $600 qualified dividends included on line 14. He uses another Qualified Dividends and Capital Gain Tax Worksheet and follows the instructions under Using the Qualified Dividends and Capital Gain Tax Worksheet for line 15 tax, in the Form 8615 instructions, to figure the $86 tax to enter on Form 8615, line 15. He completes that worksheet as shown on Filled-in Qualified Dividends and Capital Gain Tax Worksheet #2.

John adds lines 13 and 15 of Form 8615 and enters the sum, $191, on line 16. Then he uses another Qualified Dividends and Capital Gain Tax Worksheet to figure the $169 tax on Sara's $2,550 taxable income to enter on Form 8615, line 17. He completes that worksheet as shown on Filled-in Qualified Dividends and Capital Gain Tax Worksheet #3.

Finally, John compares lines 16 and 17 and enters the larger amount, $191, on line 18 of Sara's Form 8615. He also enters that amount on line 28 of Sara's Form 1040A.

John also completes Schedule 1, Form 1040A (not shown) for Sara.

Previous | First | Next

Publications Index | 2004 Tax Help Archives | Tax Help Archives Main | Home