In figuring, under the General Rule, the taxable part of your
annuity payments that you are to get for the rest of your life (rather
than for a fixed number of years), you must use one or more of the
actuarial tables in this publication.
Unisex Annuity Tables
Effective July 1, 1986, the Internal Revenue Service adopted new
annuity Tables V through VIII, in which your sex is not considered
when determining the applicable factor. These tables correspond to the
old Tables I through IV. In general, Tables V through VIII must be
used if you made contributions to the retirement plan after June 30,
1986. If you made no contributions to the plan after June 30, 1986,
generally you must use only Tables I through IV. However, if you
received an annuity payment after June 30, 1986, you may elect to use
Tables V through VIII (see Annuity received after June 30, 1986,
later).
Special Elections
Although you generally must use Tables V through VIII if you made
contributions to the retirement plan after June 30, 1986, and Tables I
through IV if you made no contributions after June 30, 1986, you can
make the following special elections to select which tables to use.
Contributions made both before July 1986 and after June 1986.
If you made contributions to the retirement plan both before July
1986 and after June 1986, you may elect to use Tables I through IV for
the pre-July 1986 cost of the contract, and Tables V through
VIII for the post-June 1986 cost. (See the examples below.)
Making the election. Attach this statement to your
income tax return for the first year in which you receive an annuity:
"I elect to apply the provisions of paragraph (d) of section
1.72-6 of the Income Tax Regulations."
The statement must also include your name, address, social security
number, and the amount of the pre-July 1986 investment in the
contract.
If your investment in the contract includes post-June 1986
contributions to the plan, and you do not make the election to use
Tables I through IV and Tables V through VIII, then you can only use
Tables V through VIII in figuring the taxable part of your annuity.
You must also use Tables V through VIII if you are unable or do not
wish to determine the portions of your contributions which were made
before July 1, 1986 and after June 30, 1986.
Advantages of election. In general, a lesser amount of
each annual annuity payment is taxable if you separately figure your
exclusion ratio for pre-July 1986 and post-June 1986
contributions.
If you intend to make this election, save your records that
substantiate your pre-July 1986 and post-June 1986
contributions. If the death benefit exclusion applies (see discussion,
earlier), you do not have to apportion it between the pre-July 1986
and the post-June 1986 investment in the contract.
The following examples illustrate the separate computations
required if you elect to use Tables I through IV for your
pre-July 1986 investment in the contract and Tables V through
VIII for your post-June 1986 investment in the contract.
Example 1.
Bill Green, who is single, contributed $42,000 to the retirement
plan and will receive an annual annuity of $24,000 for life. Payment
of the $42,000 contribution is guaranteed under a refund feature. Bill
is 55 years old as of the annuity starting date. For figuring the
taxable part of Bill's annuity, he chose to make separate
computations for his pre-July 1986 investment in the contract of
$41,300, and for his post-June 1986 investment in the contract
of $700.
| | | | Pre-
July 1986 |
Post-
June 1986 |
| A. |
Adjustment for Refund
Feature |
| | 1) Net cost |
$41,300 |
$700 |
| | 2) Annual annuity--$24,000
($41,300/$42,000 × $24,000) |
$23,600 |
| | ($700/42,000 ×
$24,000) |
| $400 |
| | 3) Guarantee under contract |
$41,300 |
$700 |
| | 4) No. of years payments
guaranteed (rounded), A(3) × A(2) |
2 |
2 |
| | 5) Applicable percentage from
Tables III and VII |
1% |
0% |
| | 6) Adjustment for value of refund
feature, A(5) × smaller of A(1)
or A(3) |
$413 |
$0 |
| B. |
Investment in the Contract |
| | 1) Net cost |
$41,300 |
$700 |
| | 2) Minus: Amount in A(6) |
413 |
0 |
| | 3) Investment in the contract |
$40,887 |
$700 |
| C. |
Expected return |
| | 1) Annual annuity receivable |
$24,000 |
$24,000 |
| | 2) Multiples from Tables I and V |
21.7 |
28.6 |
| | 3) Expected return, C(1) × C(2) |
$520,800 |
$686,400 |
| D. |
Tax-free part of
annuity |
| | 1) Exclusion ratio as decimal,
B(3) × C(3) |
.079 |
.001 |
| | 2) Tax-free part, C(1) ×
D(1) |
$1,896 |
$24 |
The tax-free part of Bill's total annuity is $1,920 ($1,896
plus $24). The taxable part of his annuity is $22,080 ($24,000 minus
$1,920). If the annuity starting date is after 1986, the exclusion
over the years cannot exceed the net cost (figured without any
reduction for a refund feature).
Example 2.
Al Brown is age 62 at his nearest birthday to the annuity starting
date. Al's wife is age 60 at her nearest birthday to the annuity
starting date. The joint and survivor annuity pays $1,000 per month to
Al for life, and $500 per month to Al's surviving wife after his
death. The pre-July 1986 investment in the contract is $53,100
and the post-June 1986 investment in the contract is $7,000. Al
makes the election described in Example 1.
For purposes of this example, assume the refund feature adjustment
is zero. If an adjustment is required, IRS will figure the amount. See
Requesting a Ruling on Taxation of Annuity at the end of
this publication.
| | | | Pre-
July 1986 |
Post-
June 1986 |
| A. |
Refund Feature Adjustment |
| | 1) Net cost |
$53,100 |
$7,000 |
| | 2) Annual annuity--$12,000
($53,100/$60,100 × $12,000) |
$10,602 |
| | ($7,000/$60,100 ×
$12,000) |
| $1,398 |
| | 3) Guaranteed under the contract |
$53,100 |
$7,000 |
| | 4) Number of years guaranteed,
rounded, A(3) × A(2) |
5 |
5 |
| | 5) Applicable percentages |
0% |
0% |
| | 6) Refund feature adjustment, A(5) ×
smaller of A(1) or A(3) |
0 |
0 |
| B. |
Investment in the Contract |
| | 1) Net cost |
$53,100 |
$7,000 |
| | 2) Refund feature adjustment |
0 |
0 |
| | 3) Investment in the contract adjusted for
refund feature |
$53,100 |
$7,000 |
| C. |
Expected Return |
| | 1) Multiple for both annuitants
from Tables II and VI |
25.4 |
28.8 |
| | 2) Multiple for first annuitant
from Tables I and V |
16.9 |
22.5 |
| | 3) Multiple applicable to
surviving annuitant, subtract C(2) from C(1) |
8.5 |
6.3 |
| | 4) Annual annuity to surviving
annuitant |
$6,000 |
$6,000 |
| | 5) Portion of expected return for
surviving annuitant, C(4) × C(3) |
$51,000 |
$37,800 |
| | 6) Annual annuity to first
annuitant |
$12,000 |
$12,000 |
| | 7) Plus: Portion of expected
return for first annuitant, C(6) × C(2) |
$202,800 |
$270,000 |
| | 8) Expected return for both
annuitants, C(5) + C(7) |
$253,800 |
$307,800 |
| D. |
Tax-Free Part of
Annuity |
| | 1) Exclusion ratio as a decimal,
B(3) × C(8) |
.209 |
.023 |
| | 2) Retiree's tax-free part
of annuity, C(6) × D(1) |
$2,508 |
$276 |
| | 3) Survivor's tax-free part
of annuity, C(4) × D(1) |
$1,254 |
$138 |
The tax-free part of Al's total annuity is $2,784 ($2,508 +
$276). The taxable part of his annuity is $9,216 ($12,000 -
$2,784). The exclusion over the years cannot exceed the net cost of
the contract (figured without any reduction for a refund feature) if
the annuity starting date is after 1986.
After Al's death, his widow will apply the same exclusion
percentages (20.9% and 2.3%) to her annual annuity of $6,000 to figure
the tax-free part of her annuity.
Annuity received after June 30, 1986.
If you receive an annuity payment after June 30, 1986, (regardless
of your annuity starting date), you may elect to treat the entire cost
of the contract as post-June 1986 cost (even if you made no
post-June 1986 contributions to the plan) and use Tables V
through VIII. Once made, you cannot revoke the election, which will
apply to all payments during the year and in any later year.
Make the election by attaching the following statement
to your income tax return.
"I elect, under section 1.72-9 of the Income Tax
Regulations, to treat my entire cost of the contract as a
post-June 1986 cost of the plan."
The statement must also include your name, address, and social
security number.
You should also indicate you are making this election if you are
unable or do not wish to determine the parts of your contributions
which were made before July 1, 1986 and after June 30, 1986.
Disqualifying form of payment or settlement.
If your annuity starting date is after June 30, 1986, and the
contract provides for a disqualifying form of payment or settlement,
such as an option to receive a lump sum in full discharge of the
obligation under the contract, the entire investment in the contract
is treated as post-June 1986 investment in the contract. See
regulations section 1.72-6(d)(3) for additional examples of
disqualifying forms of payment or settlement. You can find the Income
Tax Regulations in many libraries and at Internal Revenue Service
Offices.
Worksheet I
Worksheet II
Actuarial Tables
Table II. Ordinary Joint Life and Latest Survivor Annuitee - Two Lives - Expected Returns Multiples
Table II (Continued)
Table II (Continued)
Table II (Continued)
Table III. Percent Value of Refund Feature
Table III (Continued)
Table IV. Temporary Life Annuities' - One Life - Expected Returns Multiples
Table IV (Continued)
Table IV (Continued)
Table IV (Continued)
Table IV (Continued)
Table V. Ordinary Life Annuities - Expected Return Multiples
Table VI. Ordinary Joint Life and Last Survivor Annuities - One Life - Expected Return Multiples
Table VI (Continued)
Table VI (Continued)
Table VI (Continued)
Table VI (Continued)
Table VI (Continued)
Table VI (Continued)
Table VI (Continued)
Table VI (Continued)
Table VI (Continued)
Table VI (Continued)
Table VI (Continued)
Table VI (Continued)
Table VI (Continued)
Table VI (Continued)
Table VI (Continued)
Table VI (Continued)
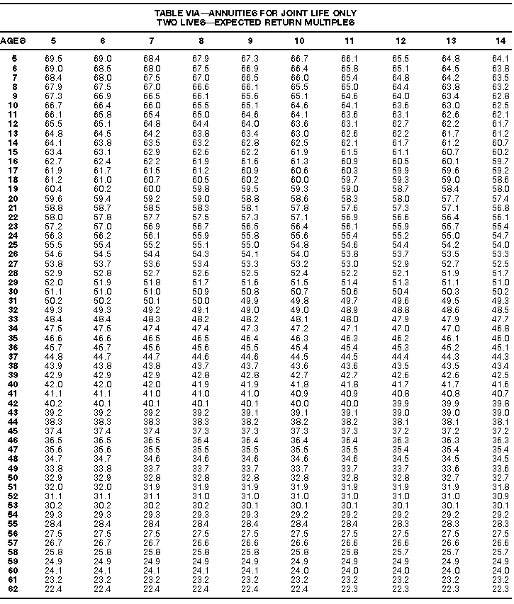
Table VIa. Annuities for Joint Life Only - Two Lives - Expected REturn Multiples
Table VIa (Continued)
Table VIa (Continued)
Table VIa (Continued)
Table VIa (Continued)
Table VIa (Continued)
Table VIa (Continued)
Table VIa (Continued)
Table VIa (Continued)
Table VIa (Continued)
Table VIa (Continued)
Table VIa (Continued)
Table VIa (Continued)
Table VIa (Continued)
Table VIa (Continued)
Table VIa (Continued)
Table VIa (Continued)
Table VII. Percent Value of Refund Feature - Duration of Guaranteed Amount
Table VII (Continued)
Table VII (Continued)
Table VII (Continued)
Table VII (Continued)
Table VII (Continued)
Table VII (Continued)
Table VII (Continued)
Table VII (Continued)
Table VIII. Temporary Life Annuities - One Life - Expected Return Multiples
Table VIII (Continued)
Table VIII (Continued)
Table VIII (Continued)
Table VIII (Continued)
Table VIII (Continued)
Table VIII (Continued)
Previous | First | Next
Publication Index | 2001 Tax Help Archives | Tax Help Archives | Home