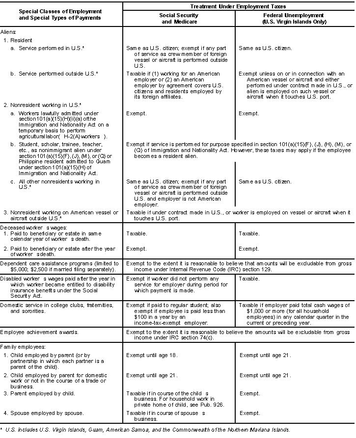
This is archived information that pertains only to the 2000 Tax Year. If you are looking for information for the current tax year, go to the Tax Prep Help Area.
Federal Tax Guide for Employers in the U.S. Virgin Islands, Guam, American Samoa, and the Commonwealth of the Northern Mariana
Islands